Waarom ben ik verwezen naar de polikliniek Klinische genetica?
- U heeft een aandoening die mogelijk erfelijk is.
- Uw kind heeft een aandoening die mogelijk erfelijk is.
- In uw familie is een erfelijke ziekte bekend en u wilt weten wat dit voor u en/of uw kinderen betekent.
- U en/of uw partner heeft (mogelijk) een erfelijke aandoening en u heeft een kinderwens.
Tijdens een eerste gesprek informeren wij u over alle mogelijkheden van erfelijkheids-onderzoek, vertellen meer over DNA-onderzoek en wat dit voor u en/of uw familie betekent.
Als DNA-onderzoek helpt om uw vraag te beantwoorden, zal uw zorgverlener u voorstellen om dit uit te laten voeren. U bent uiteraard niet verplicht om DNA-onderzoek te doen. Zie de folder Wat is DNA-onderzoek?.
De verwijzing
Voor het maken van een afspraak op onze polikliniek heeft u een verwijzing nodig van uw huisarts of medisch specialist. Zonder verwijzing is het niet mogelijk een afspraak bij ons te maken. Uw huisarts of behandelend arts kan op onze website zien aan welke voorwaarden moet worden voldaan en zo beoordelen of het zinvol is om u door te sturen. Een verwijzing kan digitaal naar ons worden verzonden.
Wat gebeurt er nadat mijn verwijzing is verstuurd?
Uw verwijzing komt automatisch bij ons in het computersysteem terecht en wordt als eerste gezien door onze casemanagers. Zij doen de triage en beoordelen deze samen met de klinisch geneticus. Daarnaast verzamelen ze belangrijke informatie voor het eerste gesprek. Het kan zijn dat onze casemanager telefonisch contact me u opneemt voor meer informatie.
Ook kan het zijn dat u één of beide van onderstaande formulieren van ons ontvangt:
- Een familieformulier 
 Dit is een boekje waarin u aangeeft wie uw familieleden zijn en welke aandoeningen er bekend zijn. Dit gebruiken wij om uw familie in kaart te brengen.
- Een toestemmingsformulier 
 Door dit formulier in te vullen geeft u of een familielid ons toestemming om medische gegevens bij een andere zorginstelling op te vragen. Deze informatie is belangrijk om uw geschiedenis of die van een familielid beter in beeld te krijgen.
Wij vragen alleen informatie en medische gegevens op die van belang zijn voor het onderzoek.
Uw familie in kaart brengen
Heeft u een familieformulier ingevuld teruggestuurd? Dan komt dit formulier terecht bij onze stamboommedewerkers. Zij zorgen ervoor dat de gegevens worden omgezet naar een getekende stamboom. Zo heeft uw zorgverlener een duidelijk overzicht van de familie en de geschiedenis.
De stamboom wordt met u besproken tijdens de eerste afspraak. Komt hierna nog meer informatie naar voren over uw familie? Dan voegen de stamboommedewerkers deze informatie achteraf toe aan uw stamboom. Deze stamboom kan eventueel met uw toestemming gebruikt worden als een familielid van u op een later moment ook wordt verwezen naar onze polikliniek.

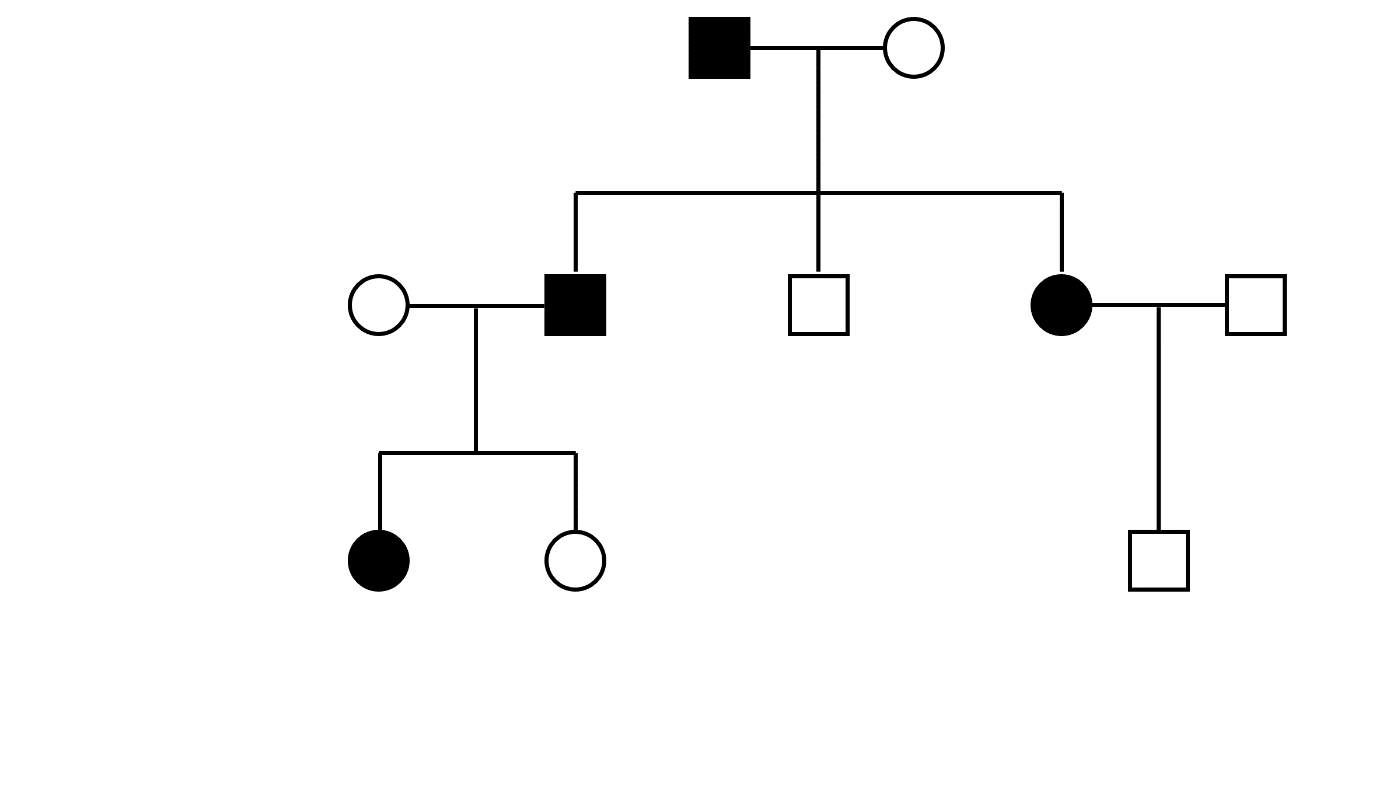
Figuur 1 Voorbeeld getekende stamboom
De afspraak plannen
Voor een aantal aandachtsgebieden hebben wij helaas een wachtlijst. Onze wachttijden kunt u vinden op Klinische Genetica polikliniek Amsterdam UMC, locatie AMC.
Het hangt af van de reden van verwijzing, de wachtlijst en de beschikbare plekken wanneer u aan de beurt bent. Één van onze polimedewerkers belt u zodra er een plek vrij is. U hoeft hiervoor dus geen contact met ons op te nemen. De afspraak kan in het ziekenhuis zijn, via videobellen of telefonisch.
Soms wordt er ook direct een afspraak voor u ingepland bij één van onze medisch maatschappelijk werkers. Voor een aantal verwijsredenen is dit de standaardprocedure.
Zie de folder Medisch maatschappelijk werk voor meer informatie.
De eerste afspraak
Het eerste gesprek duurt tussen de 30 en 60 minuten. Wij raden aan uw partner of een familielid mee te nemen naar de afspraak. Tijdens de eerste afspraak bespreken wij met u:
- De reden voor verwijzen.
- Uw eigen geschiedenis.
- De familiegeschiedenis en de getekende stamboom als deze aanwezig is.
Afhankelijk van de verwijsvraag is er soms lichamelijk onderzoek nodig. Het kan zijn dat er dan foto's van uiterlijke kernmerken worden genomen voor in het dossier.
Uw zorgverlener geeft informatie over eventueel DNA-onderzoek. De uitkomst van het gesprek kan zijn dat DNA-onderzoek niet zinvol is. Uw zorgverlener zal uiteraard aan u uitleggen waarom. Als DNA-onderzoek wel zinvol is, wordt met u besproken wat een mogelijke uitslag kan betekenen voor u, uw (toekomstige) kinderen of familieleden. U bent niet verplicht om DNA-onderzoek te laten doen.
Wilt u mentale ondersteuning tijdens dit proces? Dan kunt u bij uw zorgverlener aangeven dat u een afspraak wilt met één van onze medisch maatschappelijk werkers. Zie de folder Medisch maatschappelijk werk voor meer informatie.
Vervolg
Meestal is het niet mogelijk om na één gesprek een erfelijkheidsadvies te geven. Er worden afspraken gemaakt voor vervolgonderzoek, bijvoorbeeld:
- Bloedafname voor DNA-onderzoek.
- Bestuderen en/of extra opvragen van medische gegevens van uzelf of familieleden.
- Overleg met een specialist van een andere afdeling.
Wilt u DNA-onderzoek? Dan zorgt uw zorgverlener dat er een digitaal of geprint aanvraag-formulier voor het laboratorium wordt ingevuld. Hiermee kunt u naar een prikpoli om bloed te prikken. Het bloed wordt vervolgens naar ons laboratorium gestuurd. Het DNA-onderzoek wordt dan gestart. Het kan enkele maanden duren voordat er een uitslag bekend is. Zie de folder Wat is DNA-onderzoek?.
Het uitslaggesprek
Tijdens dit gesprek bespreekt uw zorgverlener de resultaten van het DNA-onderzoek met u. U krijgt uitleg over wat de uitslag voor u, uw (toekomstige) kinderen en uw familieleden betekent.
Heeft u behoefte aan mentale begeleiding, bijvoorbeeld over hoe u de uitslag aan uw kinderen vertelt? Uw zorgverlener kan voor u een afspraak laten maken bij één van onze medisch maatschappelijk werkers.
Het kan ook voorkomen dat u wordt doorverwezen naar een andere medisch specialist. Van uw zorgverlener ontvangt u een eindbrief, waarin de samenvatting van het gesprek staat, samen met de uitslag van het onderzoek.
Als uw uitslag gevolgen heeft voor familieleden ontvangt u een familiebrief waarmee u hen kunt inlichten.
Wilt u onze zorgverleners, casemanagers, stamboommedewerkers en polimedewerkers beter leren kennen? U vindt ons hele team op www.amsterdamumc.nl/klinische-genetica/zorgverleners.
